I’ve been a little busy recently for blog posts, what with a pesky thesis to finish and all, but such an occasion as this deserves the highest honour possible – making lots of plots. That’s right, the hallowed HTML files under this domain name have been yanked from a poor WordPress server somewhere over 1 million times now, almost coinciding with the first anniversary of the blog. I think it’s a useful event to prompt some details for those of you interested in the business of blogging – who knows, perhaps you’ll start one of your own?
Views per country
The WordPress ‘stats’ page lists page view counts filtered in various ways. The first one totals the page views coming from different countries, and so far 200 separate nations have clicked through (I’ll get you one day, Vatican City). Here’s a log-log plot of the views from each country against the population of the country:
As expected, more populous countries visit more often than less populous ones. In more detail, here are the top 20 countries ranked by views per capita:
To the people of Iceland, I thank you for your devotion to the nerdy cause. If each page view were due to a different person (they won’t be), then nearly 1 in 300 proud Icelandic geeks have popped by at some point over the past year. Honourable mentions must also go to Finland and Estonia, completing the Scandinavian triumvirate at the top of the table. However, given the next place goes to the Faroe Islands (pop. 50,000), I suspect small countries are vastly more likely to be statistical outliers. Let’s remove countries with populations below 10 million then, and see how the rankings change:
Things make much more sense. The top 4 countries are Anglophone, so really I have the British Empire to thank for all the page views. Portugal is a bit of a surprise, but a popular Portugese-language website covered the blog once, driving a lot of traffic.
Views per post
We can also split the views by blog post:
Unsurprisingly, the two post popular posts by far those about the WiFi/WiFi app, driving most of the traffic to this site. Rolling Shutters is also popular from Google searches, as is What do black holes look like? Those posts which I’m proud of but with little impact so far – Bus-steresis (hysteresis observed in the London bus network), Black Holes and Fractal Basins (an excellent pun on the Muse song Black Holes and Revelations, also interesting chaotic motion around black holes) and All the Way Across the Sky (derivation and simulation of rainbows).
Plotting the average number of page views per day over time is also telling:
More blog posts – more views. Very popular blog post – exponential decay of views over a timescale of ~1 year. I haven’t been posting often enough since March or so this year, and it’s obvious in the view count.
Views per referrer
Once again we observe a similar pattern in the distribution – lots of traffic driven by one source. In this case, I have reddit to thank for many of my page views – particularly /r/physics, /r/math, and /r/educationalgifs. In particular, there was one day I reached the front page via /r/technology, and I had 120,000 visitors in a single day. That’s nuts!
Daily Dot is a surprise, but they featured Helmhurts a number of times, and are experts at driving traffic. Hacker News is unsurprising, given the nature of the community, but it was never me doing the posting there. Thankfully the Daily Mail is far enough down the list that I don’t have to feel embarrassed.
Advertising
You may have noticed the small ads at the bottom of every blog post. These are reasonably unobtrusive so I don’t worry unduly about having them, and are part of the WordAds scheme run by WordPress.
How much money does a million views produce? In this case, $765.
I imagine it would be possible to earn more with more obvious ads, but its clear that without a jump in earnings of several orders of magnitude I won’t be living off of advertising money any time soon! However, it has been a nice little supplement to my income every now and then.
App sales
The other bit of data I have is on the app I made. So far, Google tells me the app has been downloaded 20,497 times. Of those downloads, 16,617 have resulted in a sale (excluding refunds, uninstalls etc.). Let’s look at which currencies are used to buy the app:
The huge majority of the apps are purchased by Americans – thanks guys! You lot sure love to buy apps. In comparison, the Eurozone of higher population purchased fewer than a third as many apps. The UK has supported me well, buying apps at the same rate per capita as the USA, so no plans to emigrate any time soon. Australia, Russia, Canada, Mexico, Norway – I’m glad you like the app so much. To the single people paying in Bolivian Bolivianos, Pakistani Rupees and Vietnamese Dong – spread the word!
Extracting these sales from my records, here are the app sales per day for the last year:
The obvious initial spike is the reddit effect, and every subsequent spike is due to a website reporting on the app. This plot is a little difficult to read, so here is a histogram of the app sales per day:
You can see that most days, I’m selling around 5-10 apps per day. This isn’t going to make me rich, but it is a little beer money every month. The long tail of points to the right represent single days where sales shot up – note the logarithmic scale on the x-axis. These days are much more lucrative – the record (thanks to reddit) was over 2,000 sales.
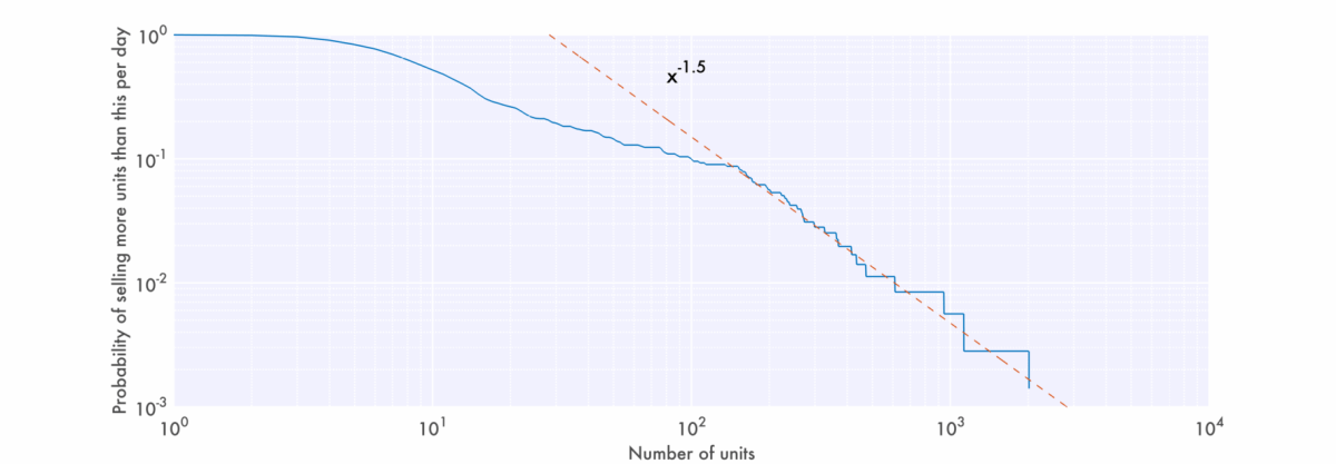
This is still a little hard to read, so let’s replot again. I can convert the probability distribution above to a cumulative distribution function (CDF) by integrating – that is, the probability that I sell at least so many apps per day on a given day. To the ardent capitalist in me, this is the wrong way round, I want to know the probability of selling more than a given amount on each day. Simply, this is just one minus the CDF (log scales for clarity):
Reading this, I have about a 40% chance of selling more than 10 units per day, which makes sense, and around a 10% chance of selling more than 100 units per day, which is also nice. Above this point, the probability seems to follow a power law, which means as I double the number of sales, the odds of these sales drop by around . As we reach the 1 in a thousand odds at the bottom of the plot, I might only see sales of that magnitude every few years (assuming, of course, this bursty sales pattern stays constant).
Thank you
Finally, it is fitting that this is my 32nd blog post, a nice round number, to sum up what I’ve been up to on here the past year. Thank you to the 144 WordPress followers, 272 Facebook followers, 172 YouTube followers and my growing number of Twitter followers, not to mention the anonymous hordes following via RSS (try Feedly! Be warned – Latex doesn’t show up). Your comments are often insightful, interesting and helpful, even occasionally those on Youtube. If you ever want to get in touch, as many people have, you can use the anonymous form on the About page, or try any of the contact methods at my personal site.
Cheers,
Jason










Being a proud member of the anonymous RSS horde (thanks to Feedly), I am very happy to read this. Please keep going 😊
LikeLike
Hi, thanks for following! And for the kind words
LikeLike
I believe you might be interested into the following question on Stackexchange, it seems to be right up your avenue:
http://dsp.stackexchange.com/questions/2010/what-is-the-least-jpg-compressible-pattern-camera-shooting-piece-of-cloth-sca
LikeLike
Thanks for the link! That’s going in the queue for sure
LikeLike